Introduction
The interim results of the ATLAS trial (Dytfeld, Lancet Oncology 2023) suggest a progression-free survival (PFS) benefit for NDMM patients after autologous hematopoietic stem cell transplantation (ASCT) treated with MRD-directed and risk-adapted maintenance using KRd compared to single-agent R. In order to gain a better understanding of the differences in response dynamics and depth achieved by the two regimens, we conducted a detailed analysis of MRD results assessed at multiple timepoints.
Methods
ATLAS is an ongoing phase 3 trial that randomized 180 patients with NDMM after ASCT to receive maintenance therapy with KRd or R. In the KRd arm, patients with standard-risk cytogenetics who achieved MRD-negativity after cycle 6 de-escalated therapy to receive R alone, starting from cycle 9. MRD assessments were performed using multicolor flow cytometry (MFC) with a limit of detection (LoD) of 10 -5 and next-generation sequencing (NGS) with LoD 10 -6 at screening, cycle 6 (C6), C12, C18, C24, and C36. Patients with MRD>10 -5 were considered MRD positive. When both MFC and NGS results were available, at least one positive result qualified a patient as MRD-positive. In line with the MRD reporting harmonization guidelines (Costa, Leukemia 2021), patients who have not reached a landmark timepoint for analysis were excluded from the denominator. MRD rates between the treatment arms were compared using the chi-square test. PFS and MRD-free survival (death, progression or MRD resurgence counted as an event) were analyzed using the Kaplan-Meier method to calculate survival rates, and the log-rank test was performed to compare the groups.
Results
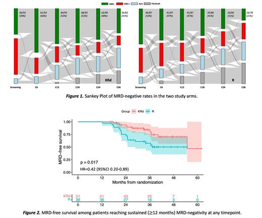
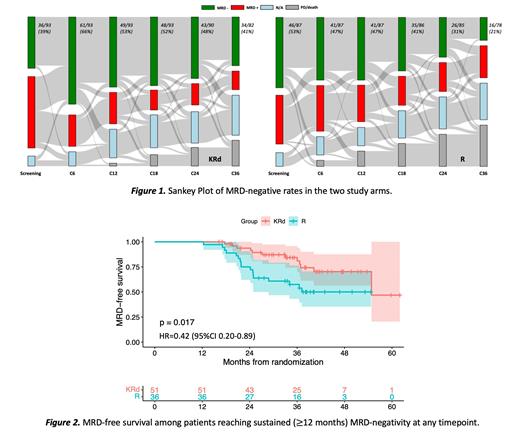
We previously reported MRD rates at the end of 6 cycles (Dytfeld, Lancet Oncology2023). In this analysis, MRD results were evaluable for the following number of subjects at the respective timepoints: 180 at screening, 180 at C6, 180 at C12, 179 at C18, 175 at C24, and 160 at C36. All the reported data, including MRD results, response rates, and time to event, were obtained at the cut-off date 31-DEC-2021, as in the Lancet Oncology manuscript. In the landmark analysis, MRD-negativity after C6 was associated with improved PFS for the entire study patient population [HR=0.49 (95% CI: 0.27-0.90), p=0.01]. Although the proportion of MRD-negative patients at screening was higher in the R arm (46/87, 53%) compared to the KRd arm (36/93, 39%, p=0.06), MRD-negative rates were higher in the KRd arm in the subsequent landmark evaluations. The MRD-negativity rates for KRd and R were: 61/93 (66%) vs 41/87 (47%, p=0.01) at C6; 49/93 (53%) vs 41/87 (47%, p=0.46) at C12; 48/93 (52%) vs 35/86 (41%, p=0.14) at C18; 43/90 (48%) vs 26/85 (31%, p=0.02) at C24; 34/82 (41%) vs 16/78 (21%, p= 0.004) at C36. These findings were consistent with a higher number of patients in the KRd arm who converted from MRD-positivity at screening to MRD-negativity at any timepoint (Figure 1). Of the 50 patients with detectable MRD at screening in the KRd arm, 33 (66%) achieved MRD-negativity as their best response. Among them, 24 achieved MRD-negativity at the end of C6, with 2 patients converting as late as C24. The numbers were significantly lower for the R arm, with 14 out of 32 (44%) MRD-positive patients at screening achieving MRD-negativity (p=0.047). Sustained MRD-negativity for at least 12 months was reached in 51 out of 93 patients (55%) in the KRd arm and in 36 out of 87 (41%) in the R arm (p=0.06). Those who achieved sustained MRD-negativity have had significantly longer PFS (HR=0.35 (0.20-0.59), p<0.0001). Among patients with sustained MRD-negativity, patients in the KRd arm had superior PFS [HR=0.30 (0.12-0.79), p=0.01], and MRD-free survival [HR=0.42 (0.20-0.89), p=0.02, Figure 2]. In the KRd arm, sustained MRD-negativity was confirmed in 32 out of 41 (78%) patients who had de-escalated therapy from KRd to R. In this group there were 8 events (25%) of progressive disease or MRD resurgence, which compared favorably to 17/36 (47%, p=0.057) events observed in the R arm.
Conclusions
The improved PFS in patients with NDMM receiving post-ASCT KRd maintenance may be attributed to higher rates of MRD conversion and longer duration of MRD-negativity. Importantly, this benefit, compared to R alone, appears to be sustained even in the subset of patients who received only 8 cycles of MRD-directed, risk-adapted KRd and subsequently de-escalated to R alone.
OffLabel Disclosure:
Dytfeld:BMS: Honoraria, Membership on an entity's Board of Directors or advisory committees; Amgen: Honoraria, Membership on an entity's Board of Directors or advisory committees. Gil:Janssen: Honoraria; Pfizer: Honoraria; Novartis: Honoraria; Abbvie: Honoraria; Astellas: Honoraria; Celgene/BMS: Honoraria; Gilead: Honoraria, Membership on an entity's Board of Directors or advisory committees. Rybka:Abbvie: Honoraria; Celgen/BMS: Honoraria; Amgen: Honoraria; Janssen: Honoraria; Takeda: Honoraria; Roche: Honoraria; Sanofi: Honoraria; Pfizer: Honoraria; Novartis: Honoraria. Zaucha:BMS: Research Funding; Medical University of GdaĆsk: Current Employment; Pierre Fabre, Takeda, BMS, Gilead, Novartis, Pfizer, Amgen, F. Hoffmann-La Roche Ltd, Astra Zeneca, Abbvie: Honoraria; MSD: Research Funding. Walewski:GSK/Novartis: Research Funding; Takeda: Consultancy, Honoraria; Servier: Honoraria; Roche: Consultancy, Honoraria, Research Funding; Novartis: Consultancy, Honoraria; Gilead: Consultancy, Honoraria; Amgen: Honoraria; Abbvie: Consultancy, Honoraria. Robak:Regeneron: Honoraria, Research Funding; AstraZeneca: Honoraria, Research Funding; BeiGene: Honoraria, Research Funding; OctoPharma: Honoraria, Research Funding; Janssen: Consultancy, Honoraria, Research Funding; Abbvie: Honoraria; GSK: Honoraria, Research Funding. Kruk-Kwapisz:Clinscience: Current Employment. Lahoud:MorphoSys Inc, Kite: Consultancy. Zonder:Janssen, Prothena, Regeneron: Consultancy; Bristol-Myers Squibb/Celgene: Research Funding; Takeda, Telios: Other: Consultancy which has ended within the past 24 months. Derman:COTA Healthcare: Consultancy; Janssen: Consultancy, Honoraria. Jakubowiak:GSK: Consultancy, Honoraria, Membership on an entity's Board of Directors or advisory committees; Sanofi-Aventi: Consultancy, Honoraria, Membership on an entity's Board of Directors or advisory committees; Amgen: Consultancy, Honoraria, Membership on an entity's Board of Directors or advisory committees; Janssen: Consultancy, Honoraria, Membership on an entity's Board of Directors or advisory committees; BMS: Consultancy, Honoraria, Membership on an entity's Board of Directors or advisory committees; Abbvie: Consultancy, Honoraria, Membership on an entity's Board of Directors or advisory committees.
Carfilzomib, Lenalidomide, Dexamethasone as maintenance after autologous stem cell transplantation in multiple myeloma

This feature is available to Subscribers Only
Sign In or Create an Account Close Modal